Блок схемы         

 

 

Линейные

Ветвления

Повторения

for

while

repeat

На главную

            

Условный оператор

Условный оператор (оператор ветвления) описывается следующим образом:

		if условие then операторы 
		

это неполная форма ветвления, а также существует полная форма:

		if условие then операторы else операторы
После then и else может стоять как один оператор, так и группа. Если стоит группа (более одного, 
то она заключается в операторские скобки Begin ... end
		

Для описания алгоритмов ветвления в графической форме используется специальный графический символ, имеющий одну входную вершину и две выходных, по одной из которых идет дальнейшее выполнение алгоритма:

		
		

Блок схема неполной формы ветвления имеет следующий вид::

		
		
		где Q - условие ветвления
		    D - действия 

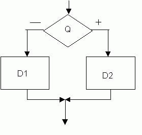
Блок схема полной формы 

		
		
		где Q - условие ветвления
		    D1,D2 - действия 
		
Сайт создан в системе uCoz